تلاطم آب در یک مخزن گیجدار
Water sloshing in a baffled tank
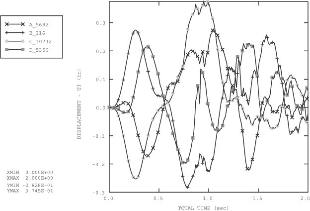
این مثال، استفاده از شبکهبندی تطبیقی را برای مدلسازی تلاطم سیال غیرلزج درون یک مخزن بافلدار نشان میدهد. پاسخ کلی سازه ناشی از کوپلینگ بین آب و مخزن، به جای یک راهحل دقیق در سیال، مورد بررسی قرار میگیرد. شبکهبندی تطبیقی امکان بررسی این پاسخ را در دورههای زمانی طولانیتر از رویکرد لاگرانژی خالص فراهم میکند، زیرا از درهمتنیدگی شبکه که در حالت دوم رخ میدهد، جلوگیری میشود.
در این صفحه بحث میشود:
شرح مشکل
شبکهبندی تطبیقی
نتایج و بحث
فایلهای ورودی
ارقام










دیدگاه خود را ثبت کنید
تمایل دارید در گفتگوها شرکت کنید؟در گفتگو ها شرکت کنید.